„БДЖ – Товарни превози“ ЕООД продава 50 локомотива и 1 вагон-отоплител.
Локомотивите и вагонът са пуснати на търг с тайно наддаване.
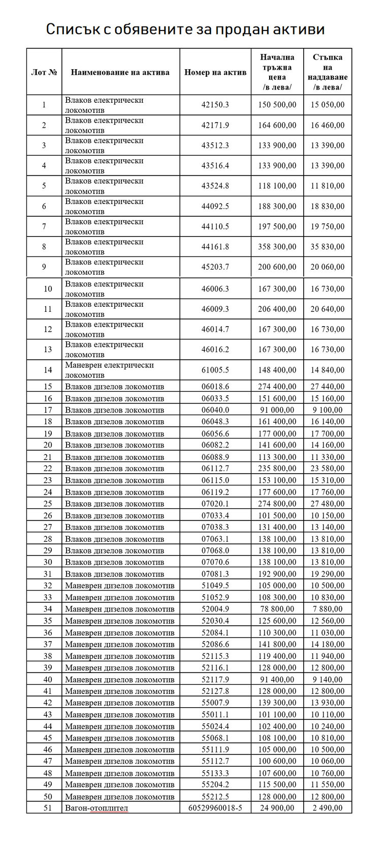
Всяка машина е пусната в отделен лот на търга.
Локомотивите, които БДЖ продава, са електрически, дизелови и маневрени. Те са произведени в Румъния и Чехия.
Най-ниската начална цена за локомотив е 78 000 лева.
Наддаването за най-хубавите локомотиви ще започва от 200 000 лв. Най-скъпата първоначална цена е в размер на 358 300.00 лева.
Първоначалната цена за вагона-отоплител е 24 900.00 лв.
Стъпката на наддаване за всички локомотиви и вагона-отоплител е в размер на 10% от първоначалната цена на актива за търга.
Заседанието по провеждането на търга с тайно наддаване ще бъде открито за всички кандидати, подали заявление за участие и допуснати до участие в търга от комисията, назначена за провеждането му, информират от дружеството.
Търгът ще се проведе на 26 юни 2018 г., вторник, от 10 часа в сградата на „БДЖ – Товарни превози“ ЕООД в град София, на адрес ул. „Иван Вазов“ № 3.
Регистрацията на участниците ще се извърши от тръжната комисия в обявения ден и час за откриване на търга.
Тръжна документация ще се продава всеки работен ден до 20 юни включително в сградата на „БДЖ – Товарни превози“. Документацията струва 200 лева без ДДС и е невъзвръщаема.
Депозитът за участие в търга e в размер на 50% от началната тръжна цена за съответния лот и трябва да бъде внесен по банков път, и при условията, указани в тръжната документация, в срок до 22 юни включително.
Заявления за участие ще се приемат до 16 часа на 25 юни в деловодството на „БДЖ – Товарни превози“ ЕООД, град София, ул. „Иван Вазов“ № 3, етаж 1.
На 3 юли ще се проведе и повторен търг, като тръжната документация за него ще се продава до 27 юни включително, огледите на активите ще се извършват до 28 юни включително, а депозитът ще се внася до 29 юни включително. Заявления за участие се приемат до 2 юли. Всичките останали обстоятелства около втория търг ще бъдат както в първия търг.
В търга няма да се допускат до участие лица, които имат задължения към „БДЖ – Товарни превози“ ЕООД и/или свързаните с него юридически лица – „БДЖ – Пътнически превози“ ЕООД и/или „Холдинг БДЖ“ ЕАД, към датата на подаване на документите за участие.
До участие няма да се допускат фирмите и лицата, които не са спазили горепосочените условия.







